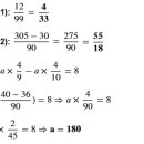
전국 자전거 보관소 지도 정보
지방행정인허가 데이터개방 '지방행정인허가 데이터개방', 카카오 '로그인, 지도, 블로그, 검색(이미지)', 네이버 '블로그, 검색(이미지)', Google 로그인 이용하여 개발되었습니다
버전 : 4 / 2024-11-30 23:03:25
선부3동주민센터
경기도 안산시 단원구 선삼로 47
'석수중'에서 0.4km
휀스형
바로가기
석수골운동장
경기도 안산시 단원구 선부로 96
'석수중'에서 0.4km
거치형
바로가기
오렌지팩토리앞
경기도 안산시 단원구 달미로 63
'석수중'에서 0.5km
휀스형
바로가기
화성프라자 앞
경기도 안산시 단원구 선부로 183
'석수중'에서 0.5km
휀스형
바로가기
롯데마트 선부점
경기도 안산시 단원구 달미로 64
'석수중'에서 0.5km
거치형
바로가기
신협프라자
경기도 안산시 단원구 선부로 191
'석수중'에서 0.6km
거치형
바로가기
선부동 벽산블루밍 페달로 옆
경기도 안산시 단원구 선부광장북로 36
'석수중'에서 0.6km
거치형
바로가기
샛터공원 주차장(열방드림교회옆)
'석수중'에서 0.7km
거치형
바로가기
선부동 롯데마트
경기도 안산시 단원구 선부로 166
'석수중'에서 0.41km
바로가기
석수골운동장
경기도 안산시 단원구 선부로 96
'석수중'에서 0.47km
바로가기
선부동 벽산블루밍
경기도 안산시 단원구 선부광장북로 36
'석수중'에서 0.57km
바로가기
선부광장
'석수중'에서 0.8km
바로가기
달미역
'석수중'에서 0.8km
바로가기
와동체육공원
경기도 안산시 단원구 와동공원로 109
'석수중'에서 0.97km
바로가기
군자주공13단지
'석수중'에서 1km
바로가기
선부1동 주민센터
경기도 안산시 단원구 선부광장서로 47
'석수중'에서 1.01km
바로가기
단원구노인복지회관
경기도 안산시 단원구 선부광장1로 134
'석수중'에서 1.12km
바로가기
강서고 건너편
경기도 안산시 단원구 화정로1길 20
'석수중'에서 1.3km
바로가기
관산중학교
'석수중'에서 1.32km
바로가기
다문화 지원센터
경기도 안산시 단원구 화정로 26
'석수중'에서 1.34km
바로가기
소래로1R
인천광역시 남동구 논현동 111-498
'석수중'에서 8.85km
바로가기
논고개로1R
인천광역시 남동구 논현동 809
'석수중'에서 8.87km
바로가기
아암대로1
인천광역시 남동구 논현동 767-6
'석수중'에서 8.99km
바로가기
소래역남로 1R
인천광역시 남동구 논현동 790
'석수중'에서 9.05km
바로가기
아암대로1437번길 1R
인천광역시 남동구 논현동 808
'석수중'에서 9.12km
바로가기
논고개로3L
인천광역시 남동구 논현동 793
'석수중'에서 9.16km
바로가기
아암대로1437번길 1L
인천광역시 남동구 논현동 799
'석수중'에서 9.28km
바로가기
소래역남로 1L
인천광역시 남동구 논현동 755-6
'석수중'에서 9.41km
바로가기
앵고개로 2L
인천광역시 남동구 논현동 726
'석수중'에서 9.42km
바로가기
앵고개로 3R
인천광역시 남동구 논현동 726
'석수중'에서 9.42km
바로가기
논고개로2R
인천광역시 남동구 논현동 787
'석수중'에서 9.46km
바로가기
앵고개로 3L
인천광역시 남동구 논현동 577
'석수중'에서 9.47km
바로가기
㈜일일사렌트카단원영업소
경기도 안산시 단원구 선이로 14, 113호1139호(선부동,제일종합시장)
'석수중'에서 0.54km
바로가기
세계로렌트카(안산영업소)
경기도 안산시 단원구 중앙대로 421
'석수중'에서 2.47km
바로가기
㈜뉴삼성렌트카안산영업소
경기도 안산시 단원구 풍전로 37-24, 319-201(원곡동,트리플렉스)
'석수중'에서 2.58km
바로가기
㈜그레이트렌트카
경기도 안산시 단원구 초지로 178, 2층(초지동)
'석수중'에서 3.11km
바로가기
㈜선경엔씨에스렌트카
경기도 안산시 단원구 고잔로 54, 502호
'석수중'에서 3.26km
바로가기
㈜선경엔씨에스렌트카 안산영업소
경기도 안산시 단원구 광덕4로 144, A동 105-1호(고잔동)
'석수중'에서 3.48km
바로가기
㈜오토렌트카
경기도 안산시 단원구 중앙대로 951, 303-2호(고잔동)
'석수중'에서 4.02km
바로가기
㈜뉴삼우렌트카
경기도 시흥시 시청로68번길 4
'석수중'에서 4.32km
바로가기
㈜뉴삼성렌트카
경기도 안산시 상록구 성호로 302, 102호(부곡동)
'석수중'에서 4.63km
바로가기
㈜오마이렌트카
경기도 안산시 단원구 원포공원1로 16, 110호(초지동)
'석수중'에서 4.77km
바로가기
케이렌트카㈜이동영업소
경기도 안산시 상록구 박우물로 4, 102호(이동)
'석수중'에서 4.84km
바로가기
㈜일일사렌트카
경기도 안산시 상록구 석호로 38, 101호(이동)
'석수중'에서 5.06km
바로가기
217-2-000030
'석수중'에서 0.2km
바로가기
217-2-000029
'석수중'에서 0.23km
바로가기
217-2-000028
경기도 안산시 단원구 북촌6길 20-1
'석수중'에서 0.3km
바로가기
217-2-000032
'석수중'에서 0.3km
바로가기
217-2-000046
경기도 안산시 단원구 석수동길 32-1
'석수중'에서 0.31km
바로가기
217-2-000031
'석수중'에서 0.31km
바로가기
217-2-000025
경기도 안산시 단원구 석수동길 34
'석수중'에서 0.33km
바로가기
217-2-000027
경기도 안산시 단원구 북촌4길 17-1
'석수중'에서 0.35km
바로가기
217-2-000026
경기도 안산시 단원구 북촌2길 8
'석수중'에서 0.37km
바로가기
217-2-000043
'석수중'에서 0.38km
바로가기
217-2-000044
'석수중'에서 0.41km
바로가기
217-2-000041
경기도 안산시 단원구 선삼로 62
'석수중'에서 0.47km
바로가기
(주)송도골프
인천광역시 연수구 동춘동 844번지 1호
'석수중'에서 16.08km
바로가기
잭 니클라우스 골프클럽 코리아
인천광역시 연수구 송도동 117번지
'석수중'에서 17.24km
바로가기
인천그랜드컨트리클럽
인천광역시 서구 원창동 390번지
'석수중'에서 24.2km
바로가기
드림아일랜드골프장
인천광역시 중구 중산동 1955번지 1호
'석수중'에서 26.02km
바로가기
베어즈베스트청라골프클럽
인천광역시 서구 청라동 9번지 90호
'석수중'에서 27.22km
바로가기
인천국제컨트리클럽
인천광역시 서구 경서동 177번지 1호
'석수중'에서 28.12km
바로가기
인천국제공항스카이칠십이골프장
인천광역시 중구 운서동 2029번지 1호
'석수중'에서 34.26km
바로가기
플라밍고C.C
충청남도 당진시 석문면 삼봉리 2293번지 0호 플라밍고CC 1호
'석수중'에서 42.18km
바로가기
파인스톤컨트리클럽
충청남도 당진군 송산면 무수리 458번지 1호
'석수중'에서 44.21km
바로가기
안성 아덴힐 C.C (변경 후 안성 루나힐스)
경기도 안성시 양성면 미산리 982번지 0호 안성아덴힐CC
'석수중'에서 47.58km
바로가기
윈체스트컨트리클럽 서산
충청남도 서산시 대산읍 화곡리 산 4번지 1호
'석수중'에서 50.71km
바로가기
서산수골프앤리조트
충청남도 서산시 대산읍 화곡리 산 4번지 1호
'석수중'에서 50.71km
바로가기
석수초,석수중 안양초 등 도보권에 위치하고 있으며 수도권 1호선 관악역 안양역이 인접합니다. 안양 자이 더 포레스트 사전점검일은 2026년 4월11일 ~ 2026년 4월12일로 총 2일간 진행 되는데요. (업무 중 연락을 받지 않거나 거절할 경우, 지역+단지, 타입, 일정을 문자로 남겨주신다면 최대한 빠른 답변 해...
더블체크(2026-03-23 22:34:00)
#석수중학교 성교육 진행위해 #성인권교육강사 #조세은강사 #안산시석수중에 왔어요 #2회차성교육 은 #안전한연애 #진정한사랑 #동의 #거절연습 #허락 #거절...고마워요~♡ 함께한 #성교육퀴즈 도 넘 재밌었어요 교육후 칠판에 후기도 적어준 이쁘니들~~♡ 무럭무럭 잘 자라고 건강하고 행복해요 내년에 기회되면...
성인권교육활동가(2025-11-13 15:45:00)
학원 후기를 솔직하게 공유해드리려고 해요. 아이 영어 학습 고민이 많으신 분들에게 도움이 되길 바라며, 선부동영어학원 중심으로 작성했습니다. 저희 아이는 초등부 수업을 듣고 있는데요. 포밍영어학원은 선부동영어학원 중에서도 문해력 향상에 정말 집중하는 곳이라 시간 낭비 없이 알찬 수업을 진행해주더라고요...
코코네(2025-10-28 00:14:00)
580명 - 석수중학교 석수동 950명 - 인덕원고등학교 인덕원동 1,050명 81.2% ⭐ 안양고등학교 안양시 920명 79.5% 동안고등학교 동안구 880명 78.3% 학원 분포는 석수동 중심 약 85개 분포! 안양 중상 수준! 💰 실거래 TOP5: 네이버 부동산 최근 거래 평단가 = 실거래가 ÷ (전용면적㎡ ÷ 3.3㎡) 계산 기준입니다. 순위...
금융에 빠삭해지자!(2026-01-05 13:00:00)
떡볶이 후기 : 존맛존맛 대존맛~~~ 퇴근 후에는 뚜뚜님 귀가 피어싱 때문에 썩어서 뚜뚜님 끼끼님이랑 피어싱 교체하러 다녀왔어요 거기에서 기묘한 모녀를 만났는데 정확한 에피소드가 기억 안 나서 생략할게요? 근데 기묘했던 기억만 남아있음,,, 그 근처에 김말이 맛집이 있다고 해서 겸사겸사 다녀와봤는데요...
우당탕탕 르미의 일상(2025-05-15 12:00:00)
교육 ‘메인콘텐츠’입니다! 이번 포스트에서는 <석수중학교>에서 1학년 학생들을 대상으로 진행한 “미래직업 창직 프로그램” 후기를 전해드리겠습니다! 이번 진로 프로그램은 석수중학교 1학년 6학급을 대상으로 4월 7일부터 4월 21일까지 총 3회, 5-6교시(6H)에 진행되었습니다. 빠르게 변화하는 사회 속에서 학생...
메인콘텐츠(2025-04-28 11:19:00)
경기 안산 시흥 친환경샴푸바 출강후기 석수중학교 위클래스 교육지원청 학생들의 초상권 보호를 위해 AI사진으로 대체했습니다. 출강 개요 의뢰: 친환경 샴푸바 만들기 단체명 : 안산교육지원청 위클래스 석수중학교 날짜 : 2025.10.28 소요시간: 1시간~1시간반 인원: 6명 안녕하세요 7년차 공방 팔레트캔들앤솝...
8년차 공방 안산 향수/캔들/글라스아트/부케말리기(2025-11-20 23:49:00)
1km 내에 여러 초등학교(안산석수초등학교, 정지초등학교 등)와 중학교(석수중학교, 선부중학교 등)가 위치해 있어 도보 통학이 가능합니다. 또한, 경일관광경영...충분히 여가 생활을 즐길 수 있습니다. 삼성 무풍 시스템에어컨 시공후기 안산메트로타운 푸르지오 힐스테이트 고객님께서는 삼성 무풍 시스템에어컨을...
갤럭시공조시스템(2025-06-27 21:21:00)
친한 지인에게도 소개해 주고 싶네요! 지금까지 경희대 명문 태권도 후기 포스팅을 하였는데요! 저희 아들처럼 태권도를 배워보고 싶은 아이들에게 도움이...중고등부 #초등부 #시범단 #예절교육 #학교체육 #놀이형처육 #태권도시범단 #석수중 #화정초 #선부동태권도 #경희대명문태권도 #안산시태권도 #단원구태권도
보니맘의 소소한 일상(2025-04-04 21:10:00)
않으면서 후기 좋은 태권도장을 알아보다가 친한 학부모로부터 이곳을 소개받았답니다! 여기 태권도장 관장님께서는 차량으로 아이들 픽업을 직접 해주시니 믿고 맡길 수 있겠더라고요! 그리고 아이들에게 진심으로 대해주시고 소통도 잘해주셔서 좋은 것 같아요. 활동하는 사진도 보여주셨는데 아이들이...
퓨어리티(2025-03-07 23:00:00)
등록된 리뷰가 없습니다.
첨부파일